Differential Equations Solved Examples
Solved Examples of Differential Equations
Thursday, February 15, 2018
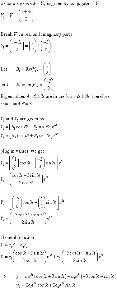
Use Eigenvalues and Eigenvectors to find the general solution of the following system of differential equations: y1' = 4y1 + 5y2 ; y2' = -2y1 + 6y2
Use Eigenvalues and Eigenvectors to find the general solution of the following system of differential equations:
y1' = 4y1 + 5y2
y2' = -2y1 + 6y2
Solution:
No comments:
Post a Comment
Newer Post
Older Post
Home
Subscribe to:
Post Comments (Atom)
No comments:
Post a Comment